2차곡선
이차함수 y=ax2 + bx +c 를 좌표평면 위에 그리면 바로 포물선이 됩니다. 중학교 3학년 과정에서 배우는 것처럼, 이차항의 계수의 부호에 따라 그래프의 모양이 결정됩니다. 계수가 양수면 아래로 볼록한 포물선이, 음수면 위로 볼록한 포물선이 그려지게 됩니다. 이처럼 복잡해 보이던 이차 관계식의 특정 조건이 곧 우리에게 익숙한 포물선을 그려내는 셈입니다.
Ax2 + By2 + Cx + Dy + E= 0라는 복잡한 식을 보면 머리가 지끈지끈 아파올 수도 있습니다. 하지만 이 식 속에 눈에 보이지 않는 아름다운 도형의 세계가 숨어 있다면 믿으시겠습니까? 일차식인 이 좌표평면 위에 단순하고 명확한 직선을 그려내듯, 이 딱딱한 이차 관계식 또한 단순한 계산식이 아닙니다. 이 식은 곧 좌표평면 위에 도형의 완벽함과 우아함을 그려내는 마법의 주문입니다. 이제 그 신비로운 변신 과정을 함께 확인해보시죠.
이차함수 y=ax2 + bx +c 를 좌표평면 위에 그리면 바로 포물선이 됩니다. 중학교 3학년 과정에서 배우는 것처럼, 이차항의 계수의 부호에 따라 그래프의 모양이 결정됩니다. 계수가 양수면 아래로 볼록한 포물선이, 음수면 위로 볼록한 포물선이 그려지게 됩니다. 이처럼 복잡해 보이던 이차 관계식의 특정 조건이 곧 우리에게 익숙한 포물선을 그려내는 셈입니다.
![[재미있는 수학] 2차 관계식은 도형의 완벽함 그려내는 마법 주문](https://img.hankyung.com/photo/202510/AA.41993083.1.jpg)
Ax2 + By2 + Cx + Dy + E= 0
이 복잡한 식을 그래프로 나타낼 수 있을까요? 물론입니다. 오늘은 이차 관계식에 대해 생각해보려고 합니다. 우리가 이차 관계식을 이야기할 때, 적어도 x2이나 y2항은 하나라도 있어야 의미가 있습니다. 먼저 A는 0이 아니고 B가 0인 경우를 생각해보겠습니다. 이때 방정식은 Ax2 + By2 + Cx + Dy + E= 0의 형태가 됩니다. 이 식을 y에 대해 정리하면 다음과 같이 됩니다(단, D=0이라고 가정합니다).
Dy=−Ax2−Cx−E 양변을 D로 나누어 정리하면,
![[재미있는 수학] 2차 관계식은 도형의 완벽함 그려내는 마법 주문](https://img.hankyung.com/photo/202510/AA.41993081.1.jpg)
이 식을 x에 대해 정리하면, ‘Cx=−By2−Dy−E’가 됩니다. 중학교 3학년 이상이라면 이 형태를 보고 ‘어? 이 곡선은 함수가 되지 않을 텐데?’라고 생각할 수 있습니다. 맞습니다. 이 식에서 x의 값에 따라 y의 값이 2개가 나오거나 아예 존재하지 않는 경우가 생기므로, 일반적인 함수의 정의를 만족하지 않습니다.
하지만 고등학교 1학년 때 배우는 대칭 이동의 개념을 생각해봅시다. x와 y를 바꾼다는 것은 곧 그래프를 y=x라는 직선에 대해 대칭 이동시키는 것을 의미합니다. 이 식을 잠시 y에 대해 정리하면 y=ax2 + bx +c 형태가 되는데, 이는 우리가 익숙한 y=ax2 + bx +c 꼴의 이차함수에서 x와 y의 역할을 바꾼 것에 불과합니다. 따라서 이 곡선은 위나 아래로 볼록한 포물선이 아니라, 오른쪽이나 왼쪽으로 볼록한 포물선이 될 것임을 상상할 수 있습니다. 이처럼 이차 관계식의 계수 조건에 따라 포물선의 방향만 달라질 뿐, 본질은 변하지 않는다는 것을 알 수 있습니다.
x 또는 y 중 한쪽의 이차항만 존재하는 포물선 형태를 살펴보았습니다. 이제는 x2의 계수 (A)도 y2의 계수 (B)도 모두 0이 아닌 경우에 대해 논의할 차례입니다.
이 경우, 우리는 계수 A와 B의 관계에 따라 남은 도형들을 모두 분류할 수 있습니다. 다음 세 가지 옵션을 생각해볼 수 있습니다.
1. A와 B가 같을 때 (A=B)
2. A와 B의 부호가 같지만 크기가 다를 때 (A≠B 이고 AB>0)
3. A와 B의 부호가 다를 때 (AB<0)
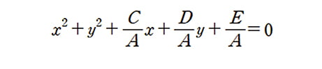
이 분류를 통해 우리는 미지수가 2개인 이차 관계식(B=0일 때)이 만들어내는 모든 도형을 다루게 됩니다. 가장 먼저, x2과 y2의 계수가 같은 경우, 즉 A=B인 경우를 살펴봅시다.
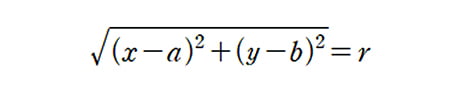
A와 C가 같으므로 이 방정식은 Ax2 + By2 + Cx + Dy + E= 0의 형태가 됩니다. 여기서 A가 0이 아니라고 가정하고 양변을 A로 나누면 다음과 같은 형태가 됩니다.
![[재미있는 수학] 2차 관계식은 도형의 완벽함 그려내는 마법 주문](https://img.hankyung.com/photo/202510/AA.41993080.1.jpg)
![[재미있는 수학] 2차 관계식은 도형의 완벽함 그려내는 마법 주문](https://img.hankyung.com/photo/202510/AA.41993082.1.jpg)
