카발리에리 법칙과 정적분

인류는 모양이 제각각인 모든 입체의 부피를 구하고 싶다는 열망을 품어왔고, 그 답을 찾기 위해 수많은 시행착오를 겪었습니다. 아르키메데스가 목욕탕에서 물이 넘치는 모습을 보고 부피를 찾는 원리를 깨달았던 것처럼 작은 아이디어가 수학을 발전시켰습니다. 그 결정적 열쇠는 다름 아닌, 우리가 처음에 무심코 이야기한 옆으로 밀린 동전 탑의 아이디어였습니다. 아주 단순해 보이는 이 원리가 수학의 역사에서는 실로 거대한 전환점이 되었습니다.
[재미있는 수학] 수많은 입체도형의 부피 계산하는 강력한 무기
자, 10원짜리 동전 10개를 반듯하게 쌓아 올린 동전 탑이 있습니다. 누군가가 실수로 이 탑의 중간을 툭 쳐서 옆으로 비스듬히 밀어버렸다고 상상해봅시다. 모양은 삐뚤어졌지만, 이 기울어진 동전 탑의 부피는 처음에 반듯했을 때와 비교해 어떻게 변했을까요?1. 증가한다. 2. 감소한다. 3. 그대로다.일렬로 쌓은 동전탑이 차지하는 부피가 왠지 더 작아 보입니다. 하지만 정답은 3번입니다. 동전을 옆으로 밀었을 뿐, 동전의 개수가 늘어나거나 크기가 변한 것은 아니니까요. 모양은 변했어도 그 안을 채우고 있는 내용물의 양(부피)은 여전히 ‘10원짜리 10개’ 그대로기 때문입니다.

지금 질문한 것이 큰 수학의 개념을 다지기 위한 원리라고 한다면 믿어지나요?

이 당연해 보이는 현상에 수학자들은 조금 멋진 이름을 붙여주었습니다. 바로 ‘카발리에리의 원리(Cavalieri’s Principle)’입니다. 이름은 어렵게 들릴지 모르지만, 내용은 우리가 방금 동전으로 확인한 사실과 똑같습니다.

“두 입체도형이 높이가 같고, 바닥과 평행한 모든 지점에서의 단면적(잘린 면의 넓이)이 서로 같다면, 두 도형의 부피는 같다.”

수학자들은 이 당연한 현상을 놓치지 않고 하나의 강력한 도구로 다듬어냈습니다. 바로 정적분입니다. 어렵게 생각할 필요 없이 적분 기호의 생김새만 봐도 그 원리를 알 수 있습니다.

우리가 쓰는 적분 기호 인테그랄은 합한다는 뜻을 가진 영어 단어 Sum의 첫 글자 S를 길게 늘어뜨린 모양입니다. 즉 싹 다 긁어모아서 합친다는 뜻을 담고 있죠.

카발리에리의 원리를 이 기호로 표현하면 아주 단순해집니다. 우리가 동전 탑을 쌓듯이, 아주 얇은 단면의 넓이들을 바닥부터 꼭대기까지 차곡차곡 쌓아서 합치면, 그것이 곧 부피가 된다는 것입니다.
[재미있는 수학] 수많은 입체도형의 부피 계산하는 강력한 무기
결국 무시무시해 보이는 적분 공식은 사실 얇은 단면들을 빠짐없이 더하면 전체 부피가 된다는 상식을 수학 언어로 짧게 줄여 쓴 메모와 같습니다.

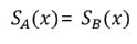
이 직관적 깨달음을 수학 기호로 옮기면 훨씬 더 명확해집니다. 두 입체도형 A, B가 나란히 놓여 있다고 가정해봅시다. 바닥에서부터 높이가 x인 지점에서 이 도형들을 수평으로 잘랐을 때 나오는 단면의 넓이를 각각
[재미있는 수학] 수많은 입체도형의 부피 계산하는 강력한 무기
라고 부르기로 합니다. 만약 카발리에리의 원리에서 말한 것처럼 모든 높이에서 두 단면의 넓이가 서로 같다면, 즉
[재미있는 수학] 수많은 입체도형의 부피 계산하는 강력한 무기
라면 결론은 명확해집니다. 똑같은 넓이들을 차곡차곡 쌓아 올렸으니, 그 결과물인 전체 부피도 같을 수밖에 없다는 뜻입니다. 이를 수식으로 쓰면 다음과 같습니다.
[재미있는 수학] 수많은 입체도형의 부피 계산하는 강력한 무기
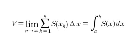
그런데 여기서 동전의 두께를 한없이 0에 가깝게 얇게 만들면 식은 어떻게 변할까요? 이 과정을 수학적으로 더 엄밀하게 표현하기 위해 우리는 극한의 개념을 빌려와야 합니다. 이제 듬성듬성한 합이 아닌 매끄러운 입체의 부피를 완성하기 위해 리미트 기호가 등장할 차례입니다.

높이 구간 [a,b]를 n개의 아주 얇은 층으로 등분한다고 생각해봅시다. 이때 각 층의 두께를 x각 지점
[재미있는 수학] 수많은 입체도형의 부피 계산하는 강력한 무기
에서의 단면적을
[재미있는 수학] 수많은 입체도형의 부피 계산하는 강력한 무기
라고 하면, 우리는 이 얇은 기둥들의 부피 합을 시그마(Σ) 기호로 나타낼 수 있습니다. 여기서 쪼개는 개수 n을 무한대(∞)로 보내는 극한을 취하면, 계단 모양의 오차는 사라지고 매끄러운 입체의 진짜 부피가 됩니다. 이것이 바로 우리가 사용하는 정적분의 정의입니다.
[재미있는 수학] 수많은 입체도형의 부피 계산하는 강력한 무기
기존에 우리가 공식으로 구할 수 있는 입체도형은 기둥, 뿔, 뿔대처럼 단순한 모양뿐이었습니다. 하지만 자연과 현실 세계에 존재하는 입체도형은 대부분 부피를 바로 구할 수 없는 복잡한 형태로 이루어져 있습니다.

그렇기에 인류는 모양이 제각각인 모든 입체의 부피를 구하고 싶다는 열망을 품어왔고, 그 답을 찾기 위해 수많은 시행착오를 겪었습니다. 아르키메데스가 목욕탕에서 물이 넘치는 모습을 보고 부피를 찾는 원리를 깨달았던 것처럼 작은 아이디어가 수학을 발전시켰습니다.

정경호 한국삼육고 수학교사
정경호 한국삼육고 수학교사
그 결정적 열쇠는 다름 아닌, 우리가 처음에 무심코 이야기한 옆으로 밀린 동전 탑의 아이디어였습니다. 아주 단순해 보이는 이 원리가 수학의 역사에서는 실로 거대한 전환점이 되었습니다. 수학자들은 이 아이디어를 통해 그동안 미지로 남아 있던 구의 부피가 왜 하필이면 그런 복잡한 공식이 되는지를 아주 명쾌하게 증명해낼 수 있었습니다. 더 나아가 이 원리는 단순히 구의 부피를 구하는 데 그치지 않았습니다. 인류는 비로소 모양이 제각각인 세상의 수많은 입체도형을 자유자재로 해석하고, 그 부피를 정확히 계산할 수 있는 강력한 무기를 손에 쥐게 된 것입니다.